2018年CL日本選手権F2B 2018年10月12〜14日 福井県リトリークたくら
U太郎さんから私の2ラウンド目のビデオをいただいたので公開します。
決勝に残った方からするとずいぶん見劣りしますがこれからの練習のポイントを探すには大変役に立ちます。
Uコンスタントを本格的に始めた頃に目標とした日本選手権に出場してきました。
本番で緊張せずに実力を発揮すること、あわよくば新人賞が欲しいけど他の人がいると。。。
まずはうだうだ言わずに参加してみよう
大会の雰囲気はどうなんだろう?どんなすごい人、面白い人に会えるかな?自分の実力はいかほどか やってみないとわかりません。
![]() |
12日の9時頃に到着しました・昨年のKMA大会についで2回目の訪問ですが勝手がわかっているので気が楽です。11日に雨が降ったのでやややわらかめの状態です。公式練習日で2回ほど飛ばせましたが緊張することなくやれて一安心。 |
![]() |
順番待ちの機体が並びます。 |
![]() |
フライト順の5番目くらいになると上の駐機場所に置いてワイヤーを張って準備しますがそれまでは控え場所に機体を置いています。 |
![]() |
カラーリングが違いますがBMコンボでかなりお高い機体です。 |
![]() |
私と同じ60フェザント プロフィールで参加のW辺さんのモーター搭載はバックマウントが削りだしで凄いです。 |
![]() |
OSモーターで配線は胴体に入れてありすっきりですね。 |
![]() |
こちらはO村さんのBMエターナルですが電動ならではで同枠を作りバックマウントで取り付けてあります、ヒートシンクもあります。 |
![]() |
こちらはコンポジット機でフロントマウントになっていますが、、、 |
![]() |
私のカメラでは飛行中の機体を撮ることが出来ないので動かないハンドルを撮ってみました。たぶんこれは自作だと思いますがワイヤーの調整式のようです。 |
![]() |
これはMNTのAタイプハンドルですね。グリップの加工が凄いです。 |
![]() |
これもMNT Aタイプです。リーチを目いっぱい前に出しています。 |
![]() |
こちらはMNT Cタイプハンドルで私も使っています。 |
![]() |
こちらはMNTのAタイプですがグリップテープが巻いてあります。それぞれにこだわりがあるようです。 |
![]() |
今回は参加者が多いので12日に機体等の検査と開会式が行われました。 |
![]() |
立派な本部テントです。FAIの旗があると威厳を感じるのは私だけでしょう。 |
![]() |
参加選手はおやじやじじいに見えます。 |
![]() |
役員やジャッジの方々です。 |
![]() |
F2Bワールドチャンピオンのカップです。団体優勝のチームの持ち回りだそうですが 過去の刻印は USAとCHINA しかないです。凄いぞ日本チーム。 |
![]() |
初めてお目にかかりましたストラップとワイヤーの引っ張り試験の用具です。 |
![]() |
理解できませんでしたが凄いマシンだと認識しました。 |
![]() |
13日 予選が始まりました。 |
![]() |
フライト開始ですがその後の写真はありません。 私は本番直前にワイヤーの素線が切れているのを見つけ、落とさなくて良かったとは思うものの一度も使ったことがない予備のワイヤーに換えて一応ニュートラル調整をして1ラウンド。 違和感なく飛ばせてよい出来でした。824点 2ラウンド目は最終フライト、ほぼ無風で好条件ですが欲を出したためか要らぬ力が入りあちこちで小さなミスが出てやや不本意な790点でした。 良くも悪くも実力以上のものは出ません。 |
![]() |
予選が終わるとコンコースドエレガンス(美しく綺麗な機体選び)が体育館で行われました。自分の目から見るとラジコン関係者の機体は曲線を多用して細かい色つかいでなんとなくわかります。 |
![]() |
|
![]() |
|
![]() |
|
![]() |
|
![]() |
|
![]() |
世界選手権参加のN米さんの機体にはその機体検査のシールが張られていました。 |
![]() |
こちらはオープン参加でオーストラリアから来られたジョーさんの機体でホーカーシューフューリーです。 |
![]() |
|
![]() |
|
![]() |
|
![]() |
日本選手権参加の機体審査合格証のシールが10枚も張ってあります。10回目の参加ですがこの機体自体は何フライトしているのでしょか? |
![]() |
|
![]() |
|
![]() |
|
![]() |
|
![]() |
|
![]() |
|
![]() |
|
![]() |
|
![]() |
|
![]() |
|
![]() |
|
![]() |
|
![]() |
|
![]() |
|
![]() |
|
![]() |
|
![]() |
|
![]() |
|
![]() |
|
![]() |
|
![]() |
|
![]() |
何機か撮りそこねてしまいました写っていない方はごめんなさい。 |
![]() |
夜は懇親会、各人それぞれの思いがあるでしょうが楽しく飲み語らえました。たぶんこのひと時を楽しみに皆さん参加されていると思います。 |
![]() |
反省する人、決勝進出の美酒を飲む人もいます。 |
![]() |
CL委員長もM下さんからの差し入れは大変おいしく頂きました。 |
![]() |
今年は福井国体と重なったためにリトリークたくらのコテージがFMAチームなどの宿泊場所でした。 |
![]() |
外には焚き火が出来るように囲炉裏のような設備がありよい雰囲気でしたが使ってる余裕無し。 |
![]() |
中はログハウス調で良かったです。 |
![]() |
で 決勝での順位はこのようになり世界戦のメンバーが表彰台に上がりました。 |
![]() |
決勝ラウンドは全て真剣に見ましたが周りの方の意見もほぼこの順位で自分の目もかなり良いなと確信しました。ただし自分の演技を直接見ることが出来ないのが残念です。 |
![]() |
新人賞は1000点に近い得点のO村さん、おめでとうございます。スーパールーキーですね 太刀打ち出来ません。 |
![]() |
コンコースはS口さん、見事なカラーリングでした。 |
![]() |
敢闘賞はHさん、決勝手前の16位です。 |
![]() |
さらに今年まで日本選手権皆勤賞(48回目らしいですが選手と役員になってからも)のM下CL委員長が平成30年を区切りとして引退されるそうで奥様とともに感謝状が贈られました。 |
![]() |
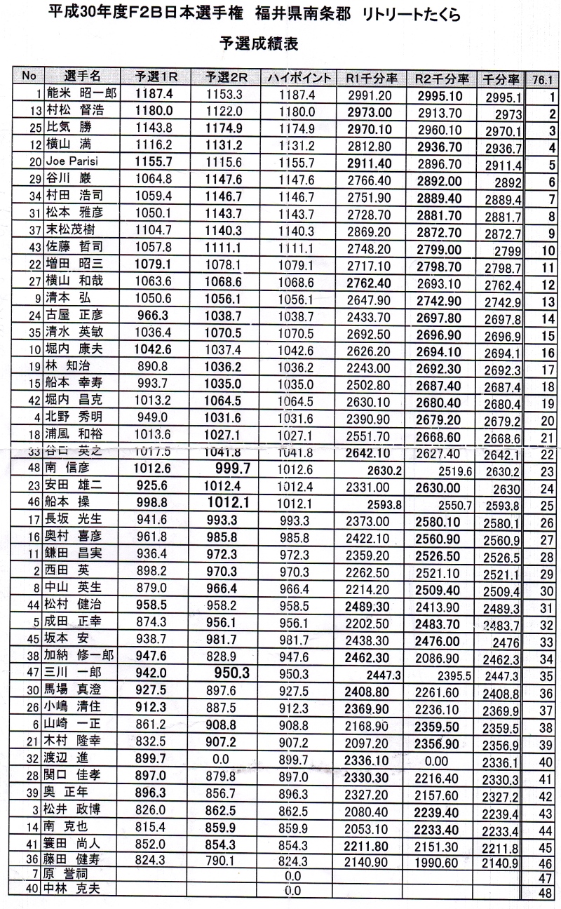
予選成績表 実名で公表しました。 私は見事に一番下に載ってしまいました。 後は上がるのみですがいつになったら?どれぐらい?あがれるのか? |
![]() |
1180点とは平均9点以上なのでほとんどミス無しと言えます。 |
1ラウンド B面での採点です ジャッジ3名ぶん
微風で自分としては良く飛んだと思いましたが現実は厳しかった。

2ラウンド A面での採点

6名のジャッジの点数を平均してみました。
7点超えが3科目ですが基本種目、KMA大会で着陸姿勢が綺麗にヘッドアップすことに気づき重心を下げたことでやっと着陸点が7点になってきた。
直前までこだわっていたウイングオーバーはそこそこ綺麗な背面ができて7点近くできた。結構な数の選手は背面が2mぐらいでやはり難しいんですね。
こうしてみるとぎりぎりD級の演技が出来たかなです。
日本選手権に初出場してのかんそうです
ドラフトにやっとかかってプロ選手になったものが公式戦にたまたま出てプロの凄さと実力の差を体験したといったとこです。
皆さんフレンドリーで質問すればきちんと教えていただけ大変勉強になりました
これからは係数の高い演技を重点的に練習して900点を目指したいと思います。
私の順位を押し上げてくれる新人が増えることを願っています。